Eros Gosselin
Palissade verre sécurité Ht 3200 lg 300 mètres
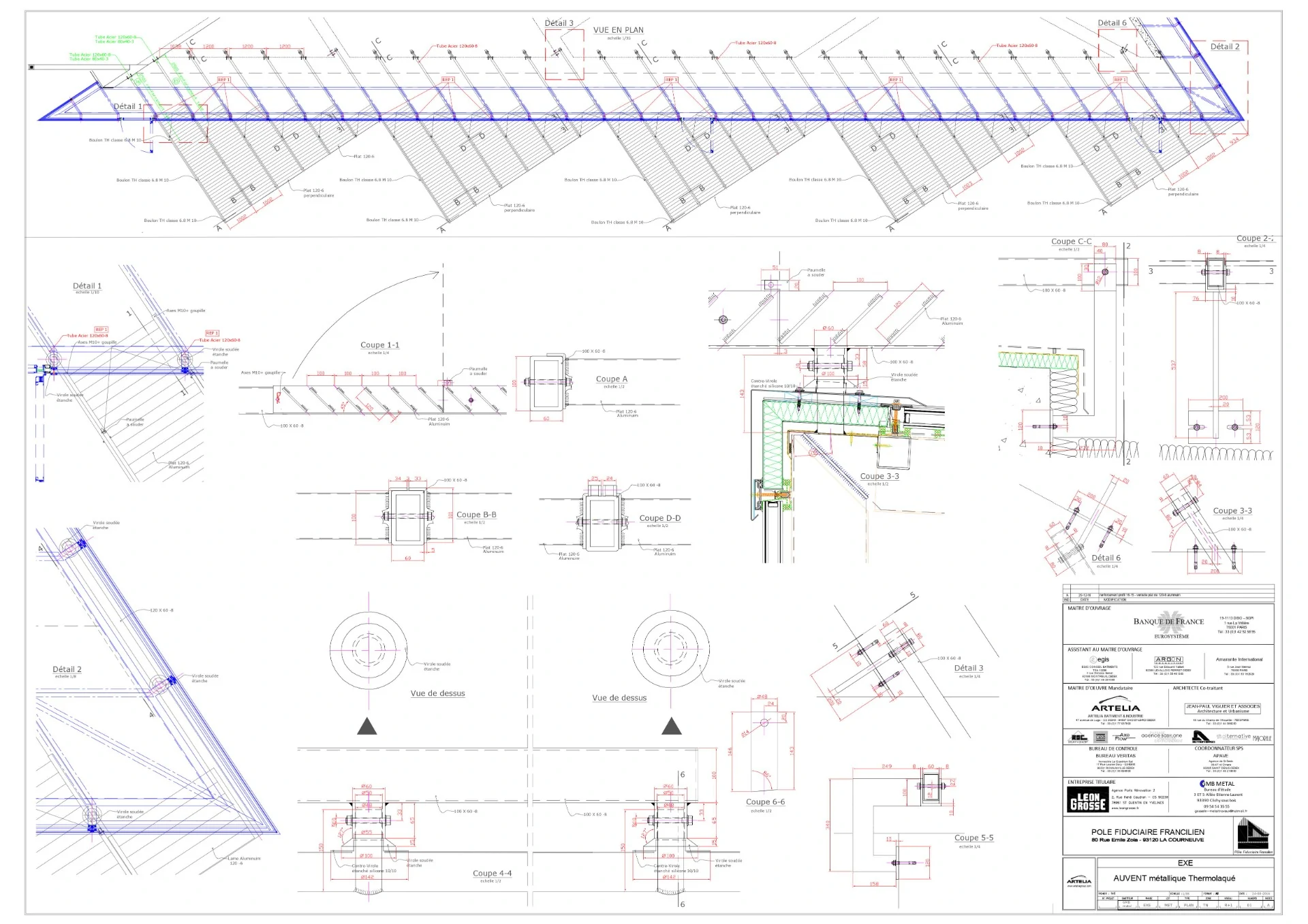
Auvent métallique Passerelle métallique / platelage bois
Passerelle / garde-corps intérieur et extérieur / contrôle d'accès / grille de protection intérieure / structure des auvents.
Laboratoire – Concepteur des cabines inox / feu
Réfection d'une école à Fresne. Étude de toutes les structures métalliques et notamment un escalier galvanisé extérieur encloisonné par une maille inox, le tout sur 5 étages + 2 sous-sols, soit 15 tonnes d'acier.
Étude, plan de conception et de fabrication + note de calcul et conduite de travaux.
Réalisation d'un escalier extérieur thermolaqué de 30 tonnes, encloisonné par une maille inox, le tout sur 7 étages + 1 RDC.
Étude, plan de conception et de fabrication + note de calcul et conduite de travaux. Les photos représentent l'escalier en cours de pose.
Jacques-Antoine Granjon, Pdg et fondateur de vente-privee.com (2 milliards de chiffre d'affaires en 2015), a fait appel à l'architecte Jean-Michel Wilmotte pour restructurer un immeuble de bureaux construit dans les années 1980 à Saint-Denis.
Conception des 116 tangons métalliques (tous différents) des résilles béton – plan architecte, plan de fabrication et note de calcul.
Conception et plan architecte + plan de fabrication de toutes les menuiseries intérieures — salle restaurant et espace détente.
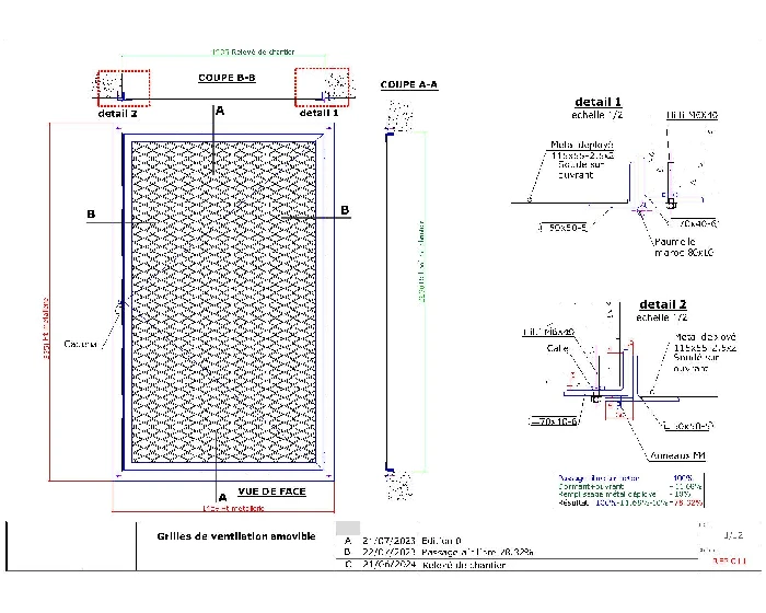
Tôlerie intérieure et extérieure des sas d'entrée + 2 murs rideaux.
Conception de garde-corps verre intérieur et extérieur, tout type, et escalier architectural + passerelle + charpente secondaire + mur rideau acier Jansen.
Conception des douves – passerelles – escaliers – cloisons coupe-feu – garde-corps butée à camion de pompier – mur rideau acier Jansen poli miroir – caillebotis chemin de douve, etc.
Auvent Métallique Thermolaqué
68 logements et centre médical, Pantin. Construit en pierre massive et structure bois.
L'enjeu du projet est de faire cohabiter un système constructif en structure bois avec des façades en pierres porteuses : une architecture vertueuse environnementalement avec des façades qualitatives et pérennes issues de ressources locales.
Et surtout, comment allier le bois, la pierre et l'acier ?
Les façades du projet sont conçues en pierre massive porteuse avec une isolation intérieure en béton de chanvre projeté directement sur la pierre afin de garder toute la respirabilité et l'inertie de cette dernière.
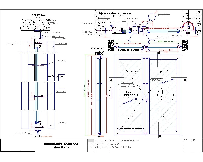
Menuiserie Aluminium
Menuiserie Manesman série 50 hermétique + tôle découpée au laser, type Art déco.
Porte basculante de garage + tôlerie découpée au laser, type Art déco.
Eros Gosselin
La Marine
Eros Gosselin
Eros Gosselin